By The People
Menu
About
Campaigns
All Campaigns
Completed Campaigns
How-To
Get Started
Transcribe
Review
Tag
Resources
Discuss
Login
Register
Login
Register
Home
Campaigns
African American Perspectives In Print
Manuscripts, 1831-1957
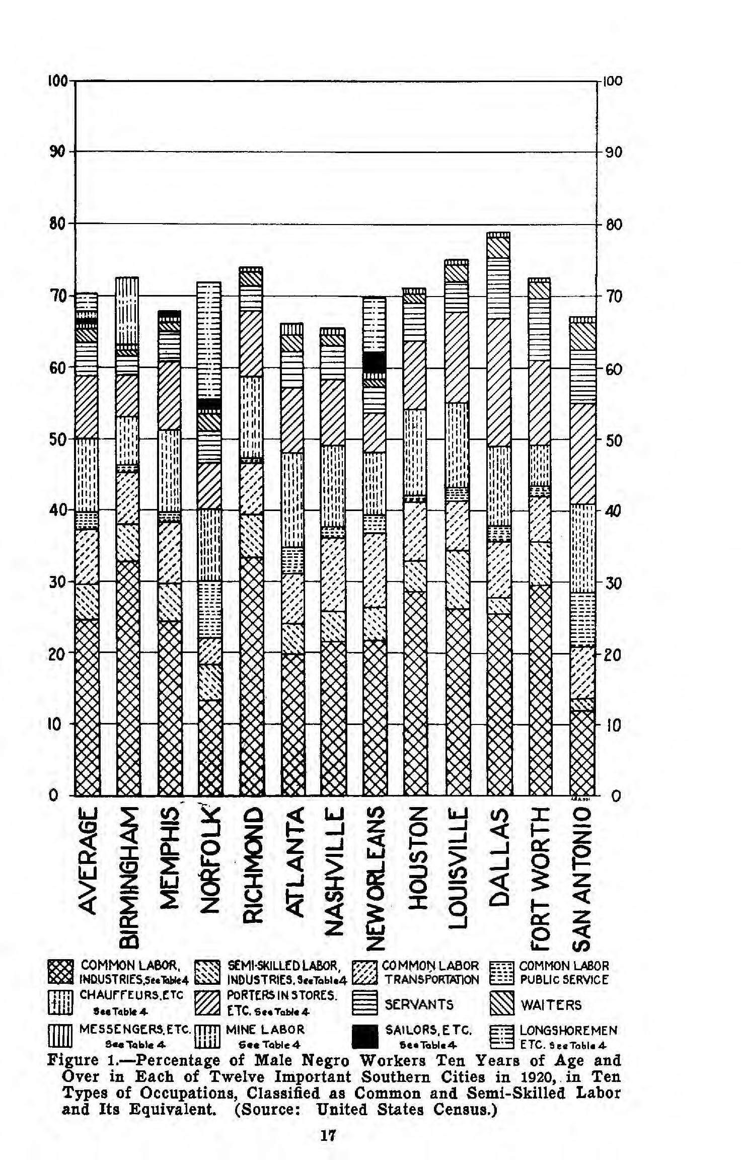
The southern urban Negro as a consumer
The southern urban Negro as a consumer
View this item on www.loc.gov
100% Completed
Filter pages:
All
Completed (338)
Needs Review (0)
In Progress (0)
Not Started (0)
#31
Complete
#32
Complete
#33
Complete
#34
Complete
#35
Complete
#36
Complete
#37
Complete
#38
Complete
#39
Complete
#40
Complete
Previous Page
1
2
3
4
5
6
…
34
Next Page
Jump to
Page 1
Page 2
Page 3
Page 4 of 34
Page 5
Page 6
Page 7
Page 8
Page 9
Page 10
Page 11
Page 12
Page 13
Page 14
Page 15
Page 16
Page 17
Page 18
Page 19
Page 20
Page 21
Page 22
Page 23
Page 24
Page 25
Page 26
Page 27
Page 28
Page 29
Page 30
Page 31
Page 32
Page 33
Page 34
Go