By The People
Menu
About
Campaigns
All Campaigns
Completed Campaigns
How-To
Get Started
Transcribe
Review
Tag
Resources
Discuss
Login
Register
Login
Register
Home
Campaigns
By Design: Frederick Law Olmsted & Associates
Speeches and Writings, 1839-1903
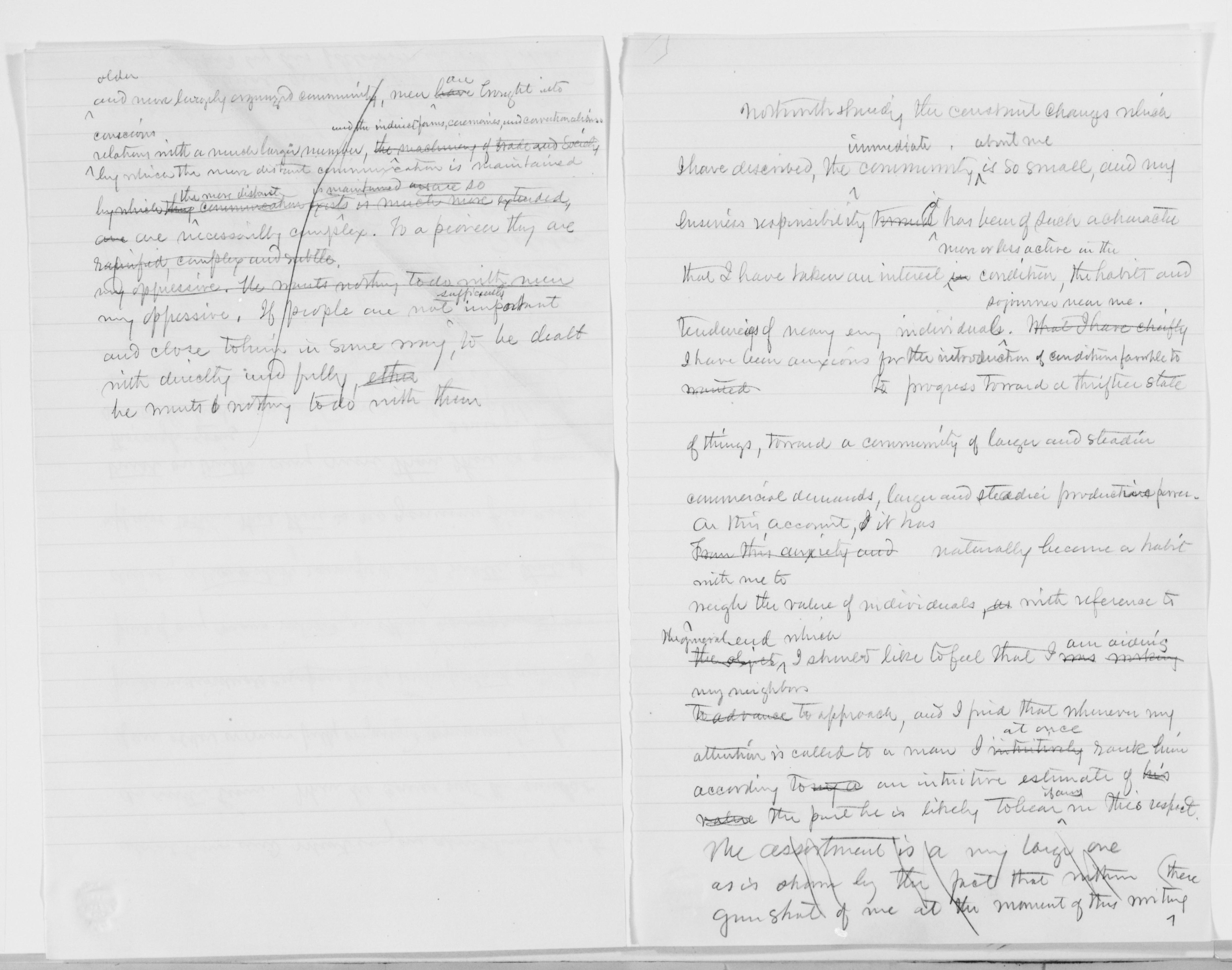
Frederick Law Olmsted Papers: Speeches and Writings File, 1839-1903; circa 1860-1870; "History of Civilization in the United States" (unpublished book); Drafts and notes of chapter entitled "A Pioneer Community of the Present Day: Mariposa"; 2 of 6
Frederick Law Olmsted Papers: Speeches and Writings File, 1839-1903; circa 1860-1870; "History of Civilization in the United States" (unpublished book); Drafts and notes of chapter entitled "A Pioneer Community of the Present Day: Mariposa"; 2 of 6
View this item on www.loc.gov
59% Completed
5% Needs Review
36% In Progress
Filter pages:
All
Completed (13)
Needs Review (1)
In Progress (8)
Not Started (0)
#9
Transcribe
#11
Transcribe
#13
Transcribe
#14
Transcribe
#17
Transcribe
#19
Transcribe
#20
Transcribe
#21
Transcribe