By The People
Menu
About
Campaigns
All Campaigns
Completed Campaigns
How-To
Get Started
Transcribe
Review
Tag
Resources
Discuss
Login
Register
Login
Register
Home
Campaigns
By Design: Frederick Law Olmsted & Associates
Speeches and Writings, 1839-1903
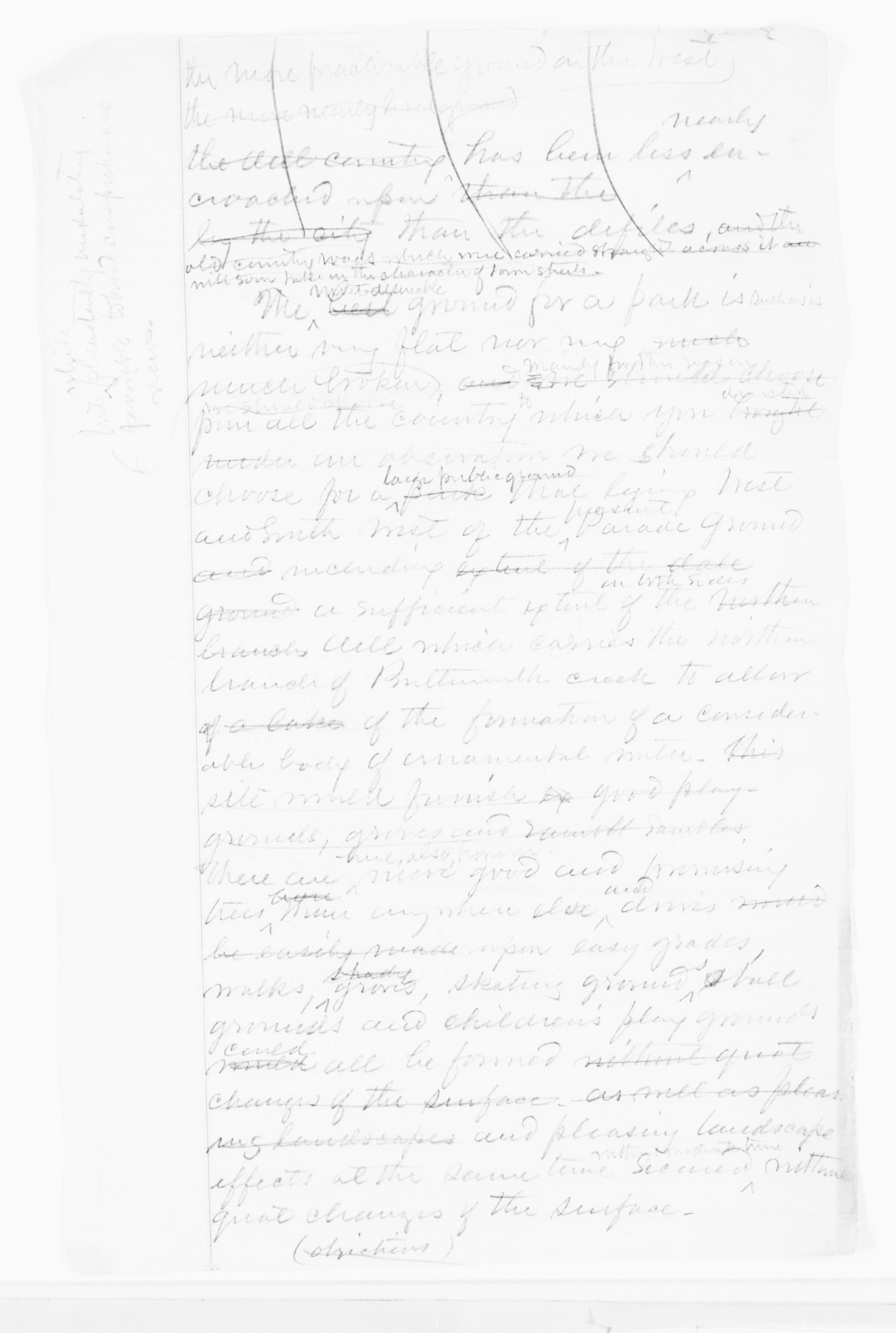
Frederick Law Olmsted Papers: Speeches and Writings File, 1839-1903; circa 1866-1870 , on education and common schools (fragment)
Frederick Law Olmsted Papers: Speeches and Writings File, 1839-1903; circa 1866-1870 , on education and common schools (fragment)
View this item on www.loc.gov
29% Completed
55% Needs Review
7% In Progress
10% Not Started
Filter pages:
All
Completed (12)
Needs Review (23)
In Progress (3)
Not Started (4)
#24
Transcribe
#31
Transcribe
#32
Transcribe
#35
Transcribe