By The People
Menu
About
Campaigns
All Campaigns
Completed Campaigns
How-To
Get Started
Transcribe
Review
Tag
Resources
Discuss
Login
Register
Login
Register
Home
Campaigns
By Design: Frederick Law Olmsted & Associates
Speeches and Writings, 1839-1903
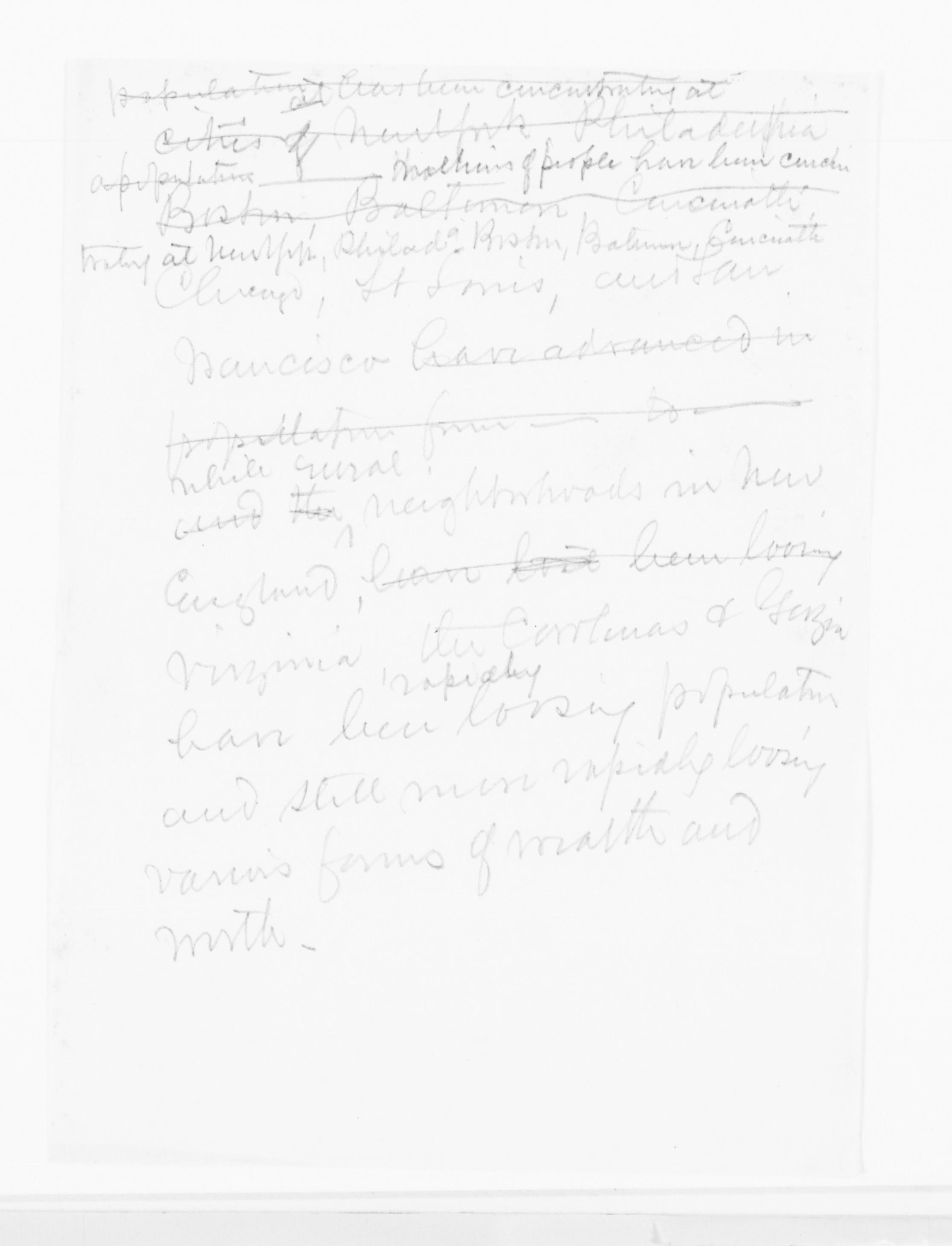
Frederick Law Olmsted Papers: Speeches and Writings File, 1839-1903; circa 1875; "Passages in the Life of an Unpractical Man" (draft)
Frederick Law Olmsted Papers: Speeches and Writings File, 1839-1903; circa 1875; "Passages in the Life of an Unpractical Man" (draft)
View this item on www.loc.gov
7% Completed
20% Needs Review
30% In Progress
44% Not Started
Filter pages:
All
Completed (7)
Needs Review (21)
In Progress (31)
Not Started (46)
#1
Complete
#2
Complete
#3
Transcribe
#4
Transcribe
#5
Transcribe
#6
Transcribe
#7
Review
#8
Complete
#9
Complete
#10
Transcribe
1
2
3
…
11
Next Page
Jump to
Page 1 of 11
Page 2
Page 3
Page 4
Page 5
Page 6
Page 7
Page 8
Page 9
Page 10
Page 11
Go