By The People
Menu
About
Campaigns
All Campaigns
Completed Campaigns
How-To
Get Started
Transcribe
Review
Tag
Resources
Discuss
Login
Register
Login
Register
Home
Campaigns
By Design: Frederick Law Olmsted & Associates
Speeches and Writings, 1839-1903
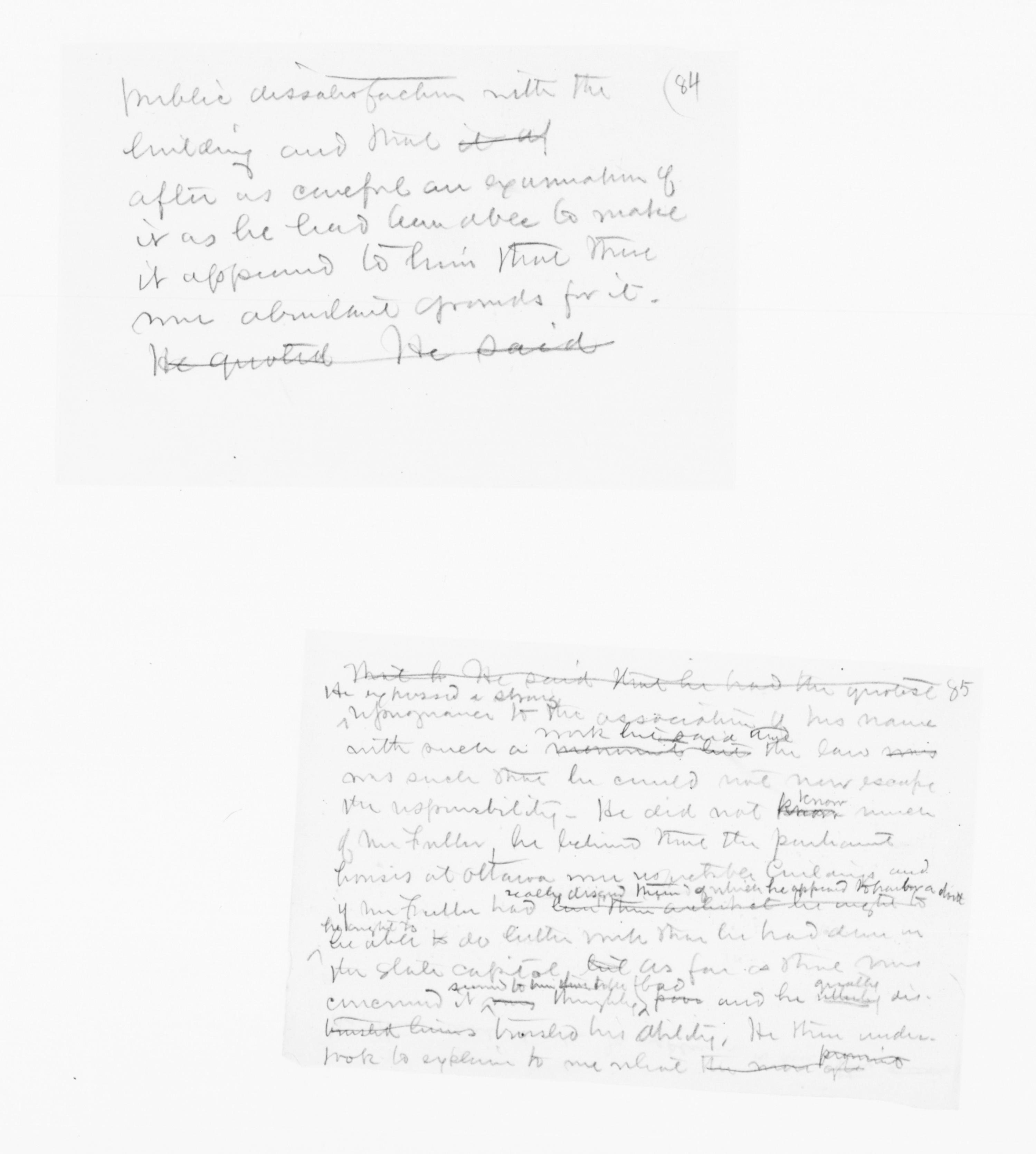
Frederick Law Olmsted Papers: Speeches and Writings File, 1839-1903; 1877; Draft of "New York State Capitol Address" read before the Senate Finance Committee, Albany, N.Y., 6 Mar.
Frederick Law Olmsted Papers: Speeches and Writings File, 1839-1903; 1877; Draft of "New York State Capitol Address" read before the Senate Finance Committee, Albany, N.Y., 6 Mar.
View this item on www.loc.gov
12% Completed
7% Needs Review
19% In Progress
62% Not Started
Filter pages:
All
Completed (13)
Needs Review (7)
In Progress (20)
Not Started (66)
#34
Transcribe
#37
Transcribe
#38
Transcribe
#39
Transcribe
#45
Transcribe
#53
Transcribe
#56
Transcribe
#57
Transcribe
#63
Transcribe
#104
Transcribe
Previous Page
1
2
Jump to
Page 1
Page 2 of 2
Go