By The People
Menu
About
Campaigns
All Campaigns
Completed Campaigns
How-To
Get Started
Transcribe
Review
Tag
Resources
Discuss
Login
Register
Login
Register
Home
Campaigns
Rough Rider to Bull Moose: Letters to Theodore Roosevelt
10. June 2-Dec. 1911: Political Storm Clouds Gathering
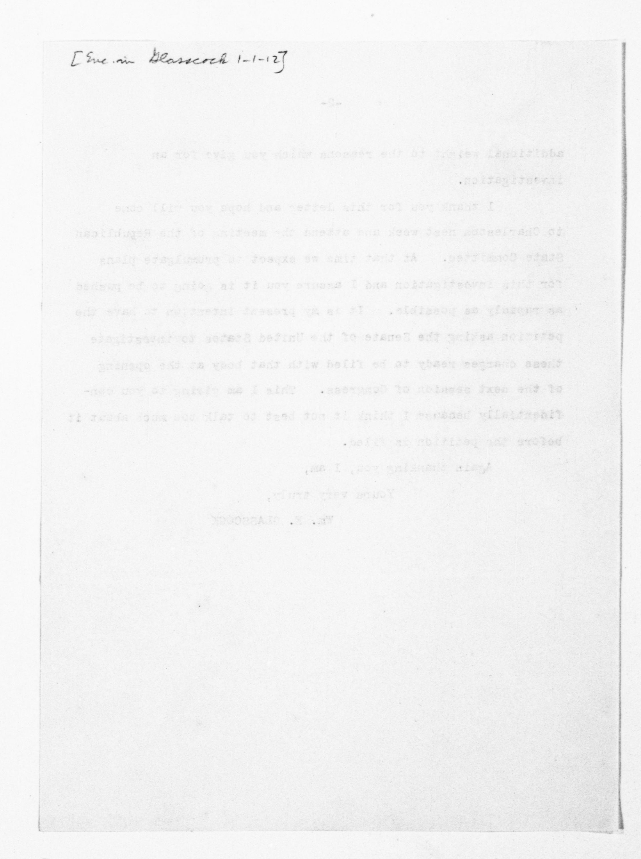
Theodore Roosevelt Papers: Series 1: Letters and Related Material, 1759-1919; 1911, Oct. 1-18
Theodore Roosevelt Papers: Series 1: Letters and Related Material, 1759-1919; 1911, Oct. 1-18
View this item on www.loc.gov
100% Completed
Filter pages:
All
Completed (910)
Needs Review (0)
In Progress (0)
Not Started (0)
#21
Complete
#22
Complete
#23
Complete
#24
Complete
#25
Complete
#26
Complete
#27
Complete
#28
Complete
#29
Complete
#30
Complete
Previous Page
1
2
3
4
5
…
91
Next Page
Jump to
Page 1
Page 2
Page 3 of 91
Page 4
Page 5
Page 6
Page 7
Page 8
Page 9
Page 10
Page 11
Page 12
Page 13
Page 14
Page 15
Page 16
Page 17
Page 18
Page 19
Page 20
Page 21
Page 22
Page 23
Page 24
Page 25
Page 26
Page 27
Page 28
Page 29
Page 30
Page 31
Page 32
Page 33
Page 34
Page 35
Page 36
Page 37
Page 38
Page 39
Page 40
Page 41
Page 42
Page 43
Page 44
Page 45
Page 46
Page 47
Page 48
Page 49
Page 50
Page 51
Page 52
Page 53
Page 54
Page 55
Page 56
Page 57
Page 58
Page 59
Page 60
Page 61
Page 62
Page 63
Page 64
Page 65
Page 66
Page 67
Page 68
Page 69
Page 70
Page 71
Page 72
Page 73
Page 74
Page 75
Page 76
Page 77
Page 78
Page 79
Page 80
Page 81
Page 82
Page 83
Page 84
Page 85
Page 86
Page 87
Page 88
Page 89
Page 90
Page 91
Go